6.3 Newton's laws in three dimensions by Benjamin Crowell, Light and Matter licensed under the Creative Commons Attribution-ShareAlike license.
It is now fairly straightforward to extend Newton's laws to three dimensions:
If all three components of the total force on an object are zero, then it will continue in the same state of motion.
The components of an object's acceleration are predicted by the equations
If two objects A and B interact via forces, then the components of their forces on each other are equal and opposite:
`F_(A "on" B,_x)= - F_(B "on" A,_x)`,
`F_(A "on" B,_y)= - F_(B "on" A,_y)`, and
`F_(A "on" B,_z)= - F_(B "on" A,_z)`.
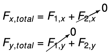
`=>` An object is initially at rest. Two constant forces begin acting on it, and continue acting on it for a while. As suggested by the two arrows, the forces are perpendicular, and the rightward force is stronger. What happens?
`=>` Aristotle believed, and many students still do, that only one force can “give orders” to an object at one time. They therefore think that the object will begin speeding up and moving in the direction of the stronger force. In fact the object will move along a diagonal. In the example shown in the figure, the object will respond to the large rightward force with a large acceleration component to the right, and the small upward force will give it a small acceleration component upward. The stronger force does not overwhelm the weaker force, or have any effect on the upward motion at all. The force components simply add together:

`mathbf"A"` The figure shows two trajectories, made by splicing together lines and circular arcs, which are unphysical for an object that is only being acted on by gravity. Prove that they are impossible based on Newton's laws.

6.3 Newton's laws in three dimensions by Benjamin Crowell, Light and Matter licensed under the Creative Commons Attribution-ShareAlike license.