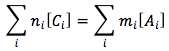
La ecuación del balance de carga se usa para resolver la concentración de un ion que falta. Esta ecuación de neutralidad está diseñada de manera que las concnetraciones de molaridad de los cationes junto con sus coeficientes de carga iguales a las concentraciones de molaridad de los aniones y sus coeficientes de carga.
La ecuación es

o en forma de suma

dónde
*Aviso: Ambos lados deben ser iguales entre sí, esta ecuación fue programada para que la resta de cationes de un aniones fue 0.
Temas Relacionados
Harris, 9th Edition. Pp.170