The Determinant of a 2x2 Matrix calculator computes the determinant of a 2x2 matrix.
INSTRUCTIONS: Enter the following:
Determinant: The calculator returns the determinant of the 2x2 matrix.

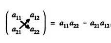
The determinant of a 2x2 matrix
`A = ((a, b), (c, d))`
is the number ad -bc. It is denoted det A.
It is important to note that matrices whose determinants are equal to zero are referred to as singular or degenerate matrices. Matrices whose determinants are not zero are referred to as non-singular. Given a matrix A where det A `!=` 0, the only equilibrium point for the linear system `frac(d bb "Y")(dt)` = `bb "AY"` is the origin.
Blanchard, Devaney, and Hall note the example (242):
`A = ((2, 1), (-4, 0.3))`
det A = (2)(0.3)-(1)(-4)= 4.6. Since det A `!=` 0, the only equilibrium point for this system is the origin (0, 0).
Blanchard, Paul, Robert L. Devaney, and Glen R. Hall. Differential Equations. 3rd ed. Belmont, CA: Thomson Brooks/Cole, 2006. Print.