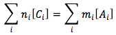
The charge balance equation is used to solve for a missing concentration of an ion. This neutrality equation is designed in a way where the molarity concentrations of cations along with their charge coefficients equal the molarity concentrations of anions and their charge coefficients.
The equation is

or in summation form

where
*Notice: Both sides must equal each other, this equation was programmed so that the subtraction of cations from an anions was 0.
Harris, 9th Edition. Pp.170