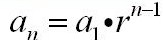
This equation is used to find the last term in a geometric sequence. If a sequence of values follows a pattern of multiplying a fixed amount (not zero) times each term to arrive at the following term, it is referred to as a geometric sequence. The number multiplied each time is constant (always the same). The fixed amount multiplied is called the common ratio, r, referring to the fact that the ratio (fraction) of the second term to the first term yields this common multiple. To find the common ratio, divide the second term by the first term.
Input Variables:
a_1 - first term
r- common ratio (cannot equal 1)
n- number of terms
Output for Formula:
Returns the last term of the geometric sequence
