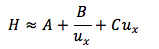
La ecuación de van Deemter[1] calcula la altura de la placa que depende del caudal y de la columna en cromagrafía. Puesto que la cromatografía trata de separaciones de sustancias mezcladas, una altura de placa más pequeña produce mejores separaciones.
La ecuación es

dónde
Harris, 9th Edition. Pp.622
[1] Para la pagina en inglés haga clic aquí