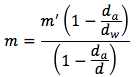
La ecuación de flotación en química se utiliza para corregir la masa obtenida a partir de una medida realizada sobre un balance, especificamente cuando la masa obtendia del balance no corresponde a la densidad de masa estándar del objeto. En la flotabilidad fisica se define como la fuerza hacia arriba sobre un objeto que se encuentra en el aire, gas o líquido.
La ecuación es:

dónde
Harris, D., Quantitative Chemical Analysis, 9th Ed., W. H. Freeman, Pp.29 (2015).