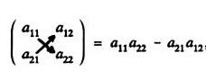
[Math| Linear Algebra| Matrix] This equation is used to find the determinant of a 2-by-2 matrix. To find the determinant of the 2-by-2 matrix you first multiply the elements from the top left to the bottom right corner and subtract the product from top right to the bottom left. The determinant is most often used to find the nature of solution of the system of linear equations defined by the matrix. This equation is only used for a 2-by-2 matrix, it cannot be used for matrices that are 3-by-3, 4-by-4, etc.
Inputs for formula:
A- value in the top left corner of the matrix
B- value in the top right corner of the matrix
C- value in the bottom left corner of the matrix
D- value in the bottom right corner of the matrix
Output of the formula
returns the determinant of the 2-by-2 matrix

What is a Matrix?
A matrix is an array of values or elements. The elements of a matrix are arranged in rows and columns.
What is a Square Matrix?
A square matrix is where the rows and columns equal the same number.
What is a 2-by-2 Matrix?
A 2-by-2 matrix has 2 rows and 2 columns.
Nicolaides, Anthony. Determinants & Matrices. London: Private Academic & Scientific Studies, 1994. Print.